The Quest For The Golden Ring - The Great Plains Power Station - Part Two

With Moose Jaw not the only location considered for the presently under construction 360 megawatt natural gas fired electrical generating station - Great Plains Power Station - MJ Independent wanted to take a behind the scenes look at the runup to the final decision.

How did Moose Jaw win the competition for the plant and what did it take to do so?

To accomplish that we launched what would turn out to be our largest Freedom Of Imation (FOI) effort ever and asked SaskPower for the documents.

We received not only hundreds of documents but also audio recordings of some of the behind the scenes machinations leading to the eventual decision to construct the plant in Moose Jaw.

It is a story that entails hard work, effort, boosterism, the largest embezzlement in German history, greed and in the end seemingly a lot of luck.

To See Part One click here


By Robert Thomas

The afternoon of February 22, 2017 was a major milestone date in what would become the Great Plains Power Station.

After not being one of the initial sites selected by SaskPower Moose Jaw was now on SaskPower’s radar. Despite the higher costs and the perceived problems with infrastructure Moose Jaw, through heavy lobbying, had managed to get itself on the short list.

Nothing could be left to chance - there would be no confrontations as there allegedly was when Canadian Protein Innovations held their public meeting introducing that project the previous year.

The word was out the City wanted people to strongly support the proposed natural gas generating station near the sewage treatment plant.

As a City Hall insider told MJ Independent there was a need to put up a strong front in order for SaskPower to move ahead further with the project in Moose Jaw.

Major changes in the local media would assist with the plan.

The group of reporters at the now defunct Moose Jaw Times-Herald who would ask questions at City Hall had either transferred, moved on or worse yet terminated.

The Times-Herald was not prepared to force any issue and be blamed for quashing economic development while it was drowning under a sea of financial losses. Moose Jaw’s final daily newspaper was desperately trying to right itself financially with losses of $60,000 a month.

Seemingly the only talk out on the street was from the local movers and shakers. Moose Jaw was on a roll.

Unbeknownst to local supporters SaskPower coming to Moose Jaw for public consultations would be pivotal in Moose Jaw winning the plant.

A lack of support just west of Regina would eliminate a major competitor and more preferred site in the quest for the coveted Great Plains power station.

In a final internal SaskPower report about the four public consultations - one for each of the proposed locations - concerned property owners (largely acreage owners) would eliminate a plant in the RM of Sherwood Park. (See chart below).

SaskPower internal report measuring support for project at four proposed sites - SOURCE SaskPower

West Sherwood public consultation showed the majority of area residents did not want the plant.

A weighted average of 53 percent were opposed to the proposed natural gas fired electrical generating plant because of increased traffic, noise and a perceived loss of property values and enjoyment for area acreage owners.

Moose Jaw had the highest public support at 69.6 percent in favour of the plant with the Belle Plaine proposed site close behind at 60 percent in favour.

An April 25th report to SaskPower’s Executive Committee marked “Confidential” lays out the Pros and Cons for eliminating West Sherwood (Park) and Rowatt from potential sites. (See below)

The report recommended West Sherwood be eliminated and further study was not recommended due to “weak public acceptance in the area.”

Rowatt had 26 percent of people at public consultations opposed to the project.

Rowatt’s physical land and site specific challenges - low areas - and only moderate public support for the project would see it eliminated as a potential site.

Excerpt from April 25, 2017 Confidential report to SaskPower Executive Committee - SOURCE SaskPower

The confidential report to SaskPower’s Executive the positive support from Moose Jaw is listed as the reason why Moose Jaw was included as a potential location.

Barring any other site coming out of the woodwork to join the race there were just two contenders remaining - Moose Jaw and Belle Plaine.

Speed - The Need For Greasy Fast Lightning Speed

A major factor in the development of what is now the under construction Great Plains Power Generating Station was the need to get the project underway as fast as possible.

There are various reasons to chose a site and get underway.

A major reason was the fear of upcoming environmental and emissions legislation which could hamper or even make the proposed plant uneconomical.

Despite the provincial government taking on Ottawa to the Supreme Court of Canada to challenge the constitutionality of the Liberal government’s 2018 Greenhouse Gas Pollution Pricing Act (for carbon emissions) SaskPower was pulling out all stops to get the project off the ground. And the sooner the better.

In a December 13, 2018 report to the SaskPower Board of Directors the cost savings and need to start the Combined Cycle Gas Turbine (CCGT) as soon as possible is laid out. (See document below)

The document states duplicating the Chinook plant as soon as possible would save money (minimum cost savings of $4 - $5 million) by reusing the plan but also SaskPower could readily apply the lessons they learnt building Chinook.

The report calls for contracting Burns & McDonnel as the engineering, procurement and construction company (EPC) for the $825 million project to save money and time. Additionally Burns & McDonnel, who built the Chinook CCGT, were owners of the plan.

The need for speed, almost out of a Rocky movie, would - unknown at the time to the City - in the end be of a great benefit to the City in eventually landing the plant.

Effluent To Save Costs

One of the least known cost saving measures the City offered SaskPower to construct the proposed plant in the then South East Industrial Park was the lower cost of water and disposing of waste water.

How the City proposed to do it was by making use of the Moose Jaw’s Waste Water Treatment Plant.

More specifically the City promoted two things.

First by being built in the industrial park the plant would not have to construct evaporation ponds to dispose of the waste water the plant would produce. The waste water could be disposed through the City’s Waste Water Treatment Plant that at the time was listed as only operating at 45 percent.

And as an added environmental incentive the industrial waste water could be used as part of the Baildon irrigation project.

Secondly the idea was proposed to make use of the effluent (treated sewage water) for use at the plant. The effluent could be purchased more cheaply and save SaskPower money.

It was part of a report the City prepared about the new industrial park and presented to SaskPower.

City report seeking investors to the industrial park - SOURCE SaskPower FOI

It was an idea very seriously considered by the Crown corporation but in the end was rejected.

As pictured below SaskPower seriously considered the cost savings potential if the effluent could be used for the plant. SaskPower stated they had a greater need for water - potable or effluent - for cooling purposes in the summer something which fit perfectly into disposing of the treated water whether it be in a lagoon or through the Baildon irrigation system if possible.

A look at the documents released through the FOI makes no mention about what was at that time a major dispute between the City and the landowners in the Baildon irrigation group.

A dispute centering around who should pay to repair or replace the out of service main irrigation pump and the City wanting to charge users a per acre annual fee for the effluent. Something the effluent irrigation users had never paid for before.

Ironically the City was marketing the irrigation system to potential industrial developers while additionally seeking funds from the land owners.

In the end though the City and SaskPower would decide upon a major dedicated water line carrying potable water to supply the plant. The reason given was the need to use more effluent and dispose of more waste because of the need to pre-filter the product.

The construction of the water line was underway in the summer of 2021.

SaskPower explains why effluent could not be used due to waste and added costs - SaskPower FOI

SaskPower Says Cut The Rah Rah

In July 2017 Deb Thorn resigned as Moose Jaw’s Economic Development Officer (EDO). A position she held as a contractor through her firm Sunflower Developments.

Thorn would be replaced by present City of Moose Jaw EDO Jim Dixon.

From the FOI documents Dixon would almost immediately reach out to SaskPower to see the status of the process to make the final decision.

The documents contain what could be one of the strangest exchanges between SaskPower employees and that is to tell Moose Jaw to tone down the impact the plant would have on Moose Jaw.

In a March 2018 SaskPower internal email discussion openly asks if Deb Thorn, Moose Jaw’s former EDO, was blinded by her enthusiasm for the plant being awarded to Moose Jaw and was the City “fully aware of what are transmission facilities will look like and the area they will impact?”

SaskPower email exchange questioning if the City was aware of the plant’s final impact - SaskPower FOI

Lee Williams, senior land specialist at SaskPower, would go on to ask “Does the City realize that we are tax exempt? Other than the local expenditures (hotels, motels, etc.) during construction and a few associated full time jobs after completion, what is the benefit to them? Bernie Bolen discussed this with Deb at our first initial meeting when they proposed the industrial park as a potential location for us. I don’t think this was fully registered by the City.”

Cost To Build In Moose Jaw Versus Belle Plaine

Despite questioning amongst themselves if Moose Jaw fully knew what the final look of the completed power plant would look like the assessments into Moose Jaw or Belle Plaine continued.

Constructing the plant at Moose Jaw’s industrial park posed costs to construct transmission lines, acquire easements where no construction could occur, and accessing natural gas to fire the turbines.

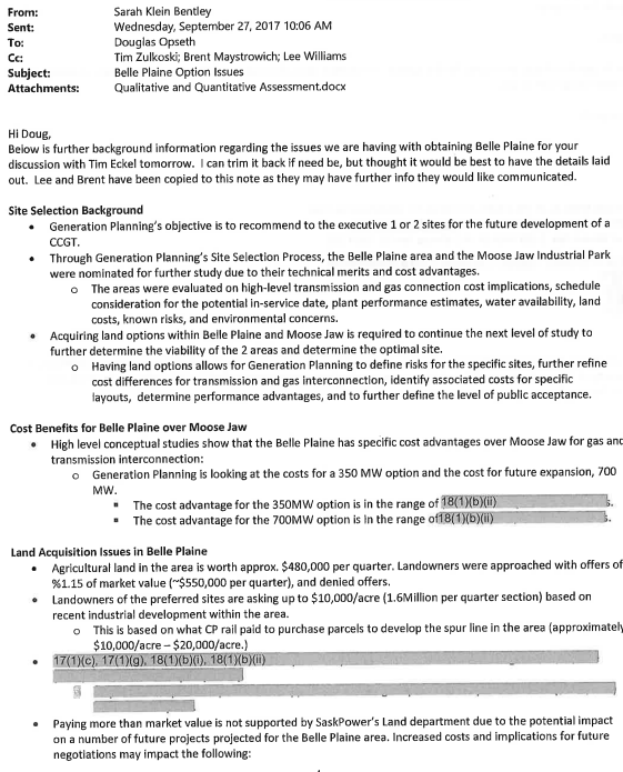
A September 27, 2017 internal SaskPower email states high level conceptual studies had shown Belle Plaine had cost advantages over Moose Jaw when it came to gas and transmission lines costs.

The actual savings that building the Great Plains plant at Belle Plaine are redacted as trade secrets from the FOI.

The document states SaskPower was having difficulty acquiring land due to what the Crown was willing to pay versus what the landowners were requesting.

SaskPower was hesitant to pay the high asking price due to their plans to construct future products in the Belle Plaine area.

So how did Moose Jaw end up with a plant that likely cost millions more to construct gas and electrical transmission lines to service it?

Come back for Part Three in The Quest For The Golden Ring - The Great Plains Power Station to find out.

moose jaw